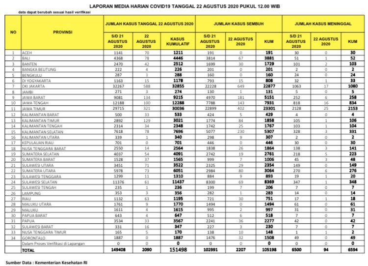
Total Kasus Positif Covid-19 di Aceh Sudah Mencapai 1.211
Banda
Aceh – Berdasarkan data Update Infografis percepatan penanganan COVID-19 di
Indonesia per tanggal 22 Agustus 2020 Pukul 12.00 WIB, data akumulatif Positif
Covid-19 di Aceh sudah mencapai 1.211 kasus. Rinciannya, 191 orang sudah sembuh
dan 30 orang meninggal dunia.
Berdasarkan
data yang bersumber dari Kementerian kesehatan RI dan dipublikasikan melalui
akun twitter Badan Nasional Penanggulangan Bencana (BNPB) tersebut, angka 1.211
kasus positif terjadi setelah adanya penambahan 70 kasus baru yang
terkonfirmasi positif.
Sementara
itu data secara nasional akumulatif Positif Covid-19 di Indonesia per tanggal 22
Agustus 2020 Pukul 12.00 WIB terhitung sejak diumumkannya pasien pertama pada 2
Maret 2020 sudah mencapai 151.498 kasus setelah ada penambahan sebanyak 2.090
kasus baru. Rinciannya, 105.198 orang sudah sembuh dan 6.594 orang meninggal
dunia. Ada penambahan kesembuhan sebanyak 2.207 orang dan penambahan angka
meninggal sebanyak 94 orang.
Adapun,
2.090 kasus baru itu diketahui setelah dilakukan
pemeriksaan 24.749 spesimen dalam sehari.
Ada 18.166 orang yang diperiksa dalam periode yang
sama. Secara akumulasi, pemerintah sudah melakukan pemeriksaan 2.014.619 spesimen dari 1.139.768 orang yang diambil sampelnya.
Per
hari ini, DKI Jakarta mencatat kasus baru terbanyak dengan jumlah penambahan 588, sehingga total ada 32.855 kasus.Penambahan kasus terbanyak kedua hari ini ada di
Jawa Timur. Di mana ada 321 kasus baru, dengan total
ada 30.036 kasus terkonfirmasi
positif. Sedangkan dua wilayah lain mencatat penambahan 100 lebih kasus baru
yakni Jawa Barat (134 kasus), Kalimantan
Timur (129 kasus) dan Jawa Tengah (100 kasus).
Sementara
itu, wilayah dengan jumlah pasien sembuh harian paling banyak per hari ini
adalah DKI Jakarta dengan penambahan 649
kasus sembuh dan Jawa Timur 402 orang.
Lihat datanya di:
http://haba.acehekspos.com/2020/08/update-covid-19-di-indonesia-dan-aceh.html
Lihat datanya di:
http://haba.acehekspos.com/2020/08/update-covid-19-di-indonesia-dan-aceh.html
Tidak ada komentar
Posting Komentar